空胶囊生产厂家-合同定制印刷明胶

Product Attribute
Model Number:
07150
Brand Name:
Customized
Place of Origin:
Shandong, China
Logo printing:
as your Request
Product Name:
Empty Capsule
Material:
Gelatin
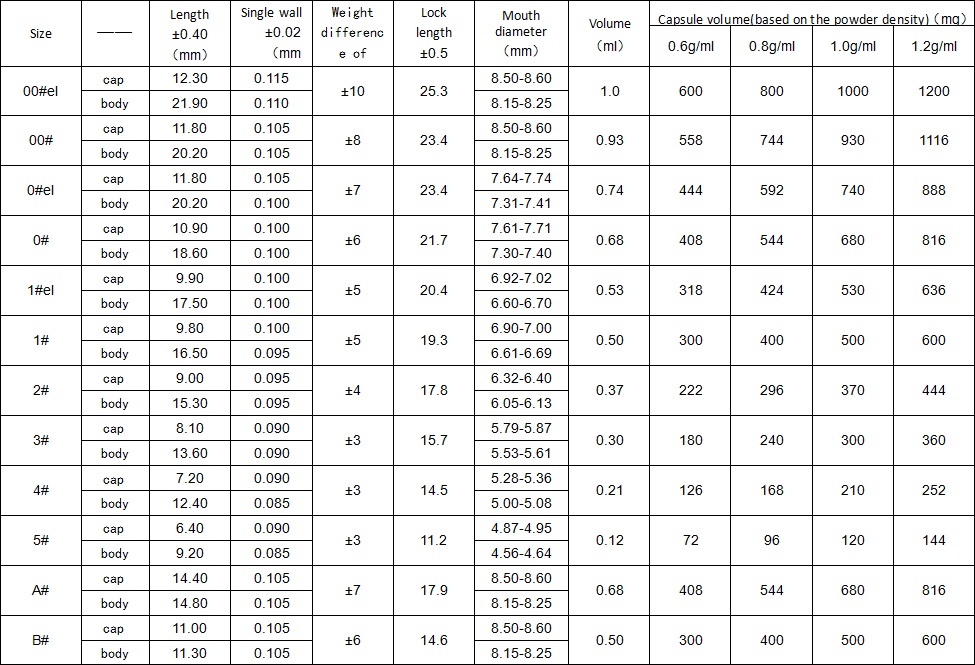
Size:
00E#,00#,0#,1#,2# and etc.
Certificate:
GMP/HACCP/BRC
Appearance:
Transparent, White, Red,Green, or as your request
Package:
Carton, or as your request
Sample:
Availabe
OEM:
Yes
Packaging and delivery
Selling Units:
Single item
More
Sample Policy: Free samples are available
Products Description

Product Image

Product Image

Product Image

Product Image

Product Image

Product Image

Product Image

Product Image

向该公司发送直接询盘

Nutrifirst Biotech Inc.

0/ 1500