Streptavidin Supplier - CAS 9013-20-1

Quantity
FOB Price
≥1
US$ 20
Product Attribute
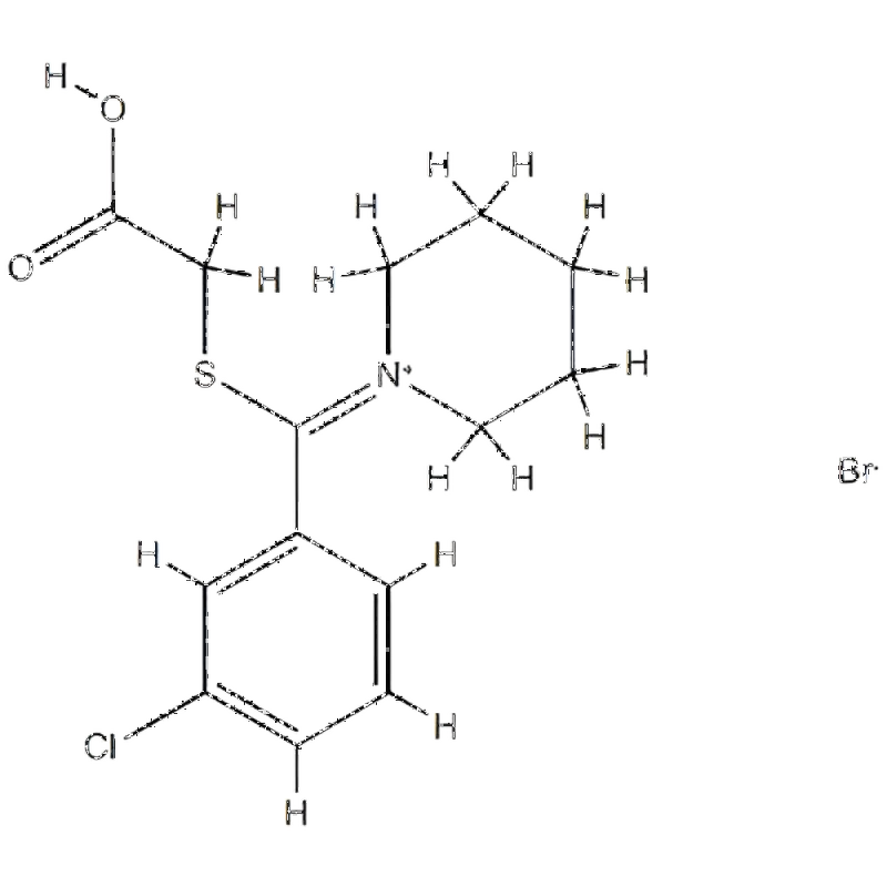
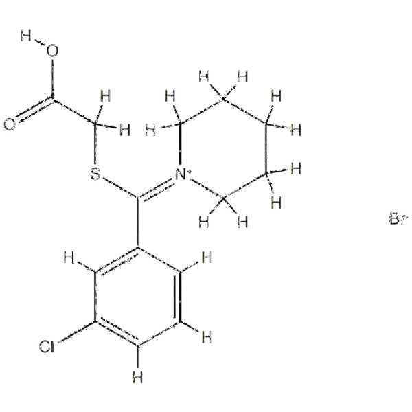
CAS No.:
9013-20-1
Purity:
BR
Place of Origin:
Hunan, China
Classification:
General Reagents
Model Number:
Pure
Brand Name:
Alfabio
EINECS No.:
618-481-6
MF:
C14H17BrClNO2S
Other Names:
STREPTAVIDIN
Appearance:
lyophilized powder
Shelf life:
24 Months
Storage:
-20°C
Package:
25KG,1Kg,500g, according to required
Color:
White
Application:
Research Reagent,Biochemicals
Packaging and delivery
Selling Units:
Single item
More
Sample Policy: Free samples are available
Products Description

Product Image

Product Image

Product Image

Product Image

Product Image

Product Image

Product Image

Product Image

Product Image

Product Image

Product Image

Send a direct inquiry to this company

Changsha Alfa Biosciences Co., Ltd.

0/ 1500